冲击电压发生器冲击试验工作原理图
冲击电压试验是电力设备高压试验的基本项目之一,电力设备在设计、制造及修缮之后都要求进行冲击试验以验证或检验。常见的电力设备包括电力变压器、电力互感器、高压开关、组合电器、避雷器、电力电缆及附件、套管及绝缘子等都要进行冲击试验。冲击电压试验也是高压试验研究的基本项目之一,在进行绝缘配合研究、电磁兼容研究及放电机理研究等许多方面都需要进行冲击电压试验。
冲击电压发生器冲击电压试验的原理及冲击试验程序,冲击电压是单次瞬态过程,因此冲击电压试验对电压幅值、电压波形及电压次数三个试验量有不同的要求。
1、电压幅值:
对于不同的试品和不同的试验要求,应该施加相应的冲击电压幅值。通过控制冲击电压发生器的充电电压可以调节冲击电压的幅值,这是容易理解的。需要注意的是,冲击电压幅值与充电电压之间的对应关系为:
UP = UC * n * η
UP :冲击电压幅值
UC:冲击电压发生器充电电压(每级)
n :冲击电压发生器使用的级数
η:冲击电压发生器的效率
2、电压波形:
冲击电压发生器冲击电压试验常用到的波形有标准雷电冲击波形、 波尾截断的标准雷电冲击波形、标准操作冲击波形、陡波波形及其他特殊要求的波形。对于波形参数的定义可参考GB/T16927《高电压试验技术》的规定。
这里需要特别提出的是,冲击电压试验回路的输出波形与试品、试验设备的部件接入及周围接地体的距离都有密切关系,因此冲击试验的难点及大部分工作也就是调波工作。能否获得满足标准要求的冲击波形是冲击试验的关键。
通常指的波形调节就是调节冲击波形的波头时间和波尾时间,对于截波试验还要求调节截断时间,对于陡波试验则要求调节波形的陡度。
以电容负载为例说明调波的步骤:
初选调波电阻值:
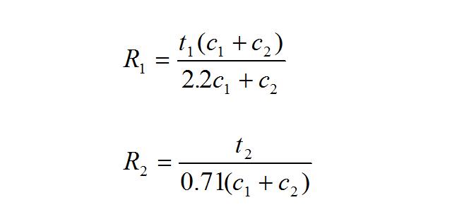
要得到所需的冲击波形,需调节波头、波尾电阻,因影响因素很多,其阻值难于事前确定,可用下式初定选取:
式中:R1—波头电阻阻值kW,R2—波尾电阻值W,C1—本体冲击电容mF,C2—负荷电容mF,包括试品入口电容,冲击分压器电容、各寄生电容,t1—冲击波头时间ms,t2—冲击波尾时间ms。
调节冲击波形、确定效率:
接入初选的调波电阻、被试品、冲击分压器,用发生器产生约0.6倍试验电压值的冲击电压,调节电阻使冲击波形达到要求。用示波器拍摄波形,求得效率,确定正式试验时的充电电压值。
实际上,对于不同的被试品,特别是小电感负载,冲击电压发生器的调波非常复杂,可能需要改变冲击电压发生器本体的连接方式,采用多级并联再串联等连线方式。因此需要在实际使用中积累经验。
3、电压次数:
在确定了电压幅值和电压波形后,剩下的工作就是要根据需要确定施加电压的次数。应该注意的是,冲击电压发生器冲击电压波形有正负极性,应该明确各极性下的加压次数。还应该考虑每次施加电压的间隔时间。
- 上一篇: 变压器综合测试仪测试精度等指标
- 下一篇: 变压器绕组变形测试仪主要技术参数













